P E N G U M U M A N
NOMOR : 009/PANSEL-PPPK/V/2025
TENTANG
JADWAL PELAKSANAAN SELEKSI KOMPETENSI PENGADAAN PEGAWAI PEMERINTAH DENGAN PERJANJIAN KERJA TAHAP II DI LINGKUNGAN PEMERINTAH KABUPATEN BOLAANG MONGONDOW TAHUN ANGGARAN 2024

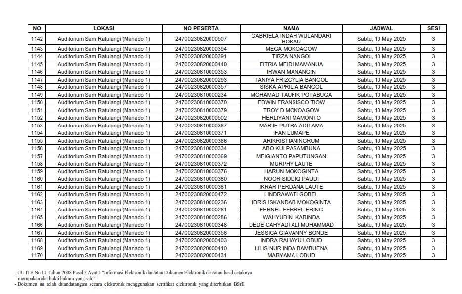
Selengkapnya, Jadwal Pelaksanaan Seleksi Kompetensi Pengadaan Pegawai Pemerintah Dengan Perjanjian Kerja di Lingkungan Pemerintah Kabupaten Bolaang Mongondow Tahun Anggaran 2024 Tahap II dapat di uduh di tautan berikut ini :
PENGUMUMAN JADWAL SELEKSI KOMPETENSI PPPK KABUPATEN BOLAANG MONGONDOW + LAMPIRAN_sign
